
In diesem Themenkomplex sollen Artikel zum bundesdeutschen Straßenverkehr im Allgemeinen und im Besonderen zum Desaster des Straßenverkehrs in der Großgemeinde Zossen, im Landkreis Teltow-Fläming, veröffentlicht werden. Zu diesem Desaster wurden bereits viele Artikel im Blog meiner Internetadresse veröffentlicht. Es ist beabsichtigt jetzt eine umfangreiche und möglichst chronologische Artikelfolge mit diesen und weiteren Artikeln aufzubauen.
Rückblick auf den Straßenverkehr zu DDR-Zeiten.
Die mangelhafte wirtschaftliche Leistungskraft der DDR war hauptsächlich an dem Verfall der Bausubstanz der Städte und Dörfer, sowie an dem schlechten Zustand der Straßen sichtbar.
Der Mauerbau in und um Berlin, ab 1961, wurde von den meisten DDR-Bürgern ja ironisch als der geplante Autobahnneubau vom Berliner Ring nach Rostock bezeichnet.
Beim Staatsbesuch des Regierungschefs von Syrien Assad (dem Vater des heutigen Regierungschefs), im Okt. 1978 in der DDR, stand auch ein Besuch des IFA Autowerkes in Ludwigsfelde mit dem Staatsratsvorsitzenden Erich Honecker auf dem Programm. Die jahrelang bestehende Schlaglochstrecke an der Auffahrt von der Genshagener Straße in Ludwigsfelde zur A 10 Richtung Schönefelder Kreuz und nach Berlin wurde, aus diesem Grunde, kurzfristig und notdürftig ausgebessert.
Da diese Ausbesserung nicht lange hielt, wollte ich in einer Eingabe an den Staatsrat vorschlagen, öfter Staatsbesuche im Autowerk Ludwigsfelde durchzuführen, damit sich die Straßenverhältnisse verbessern, was ich jedoch besser unterließ.
Nachwendeplanungen der Ortsumfahrungen für Zossen
Nach dem Abzug des Sowjetischen Streitkräfte in Deutschland (GSSD) 1994 aus Wünsdorf wurde auch wieder die Jahrzehnte andauernde Sperrung der B 96 vom Ortsausgang von Zossen bis kurz vor Neuhof aufgehoben und wieder für den allgemeinen Straßenverkehr freigegeben.
Bis Mitte der 50iger Jahre konnte man die B 96 durch Wünsdorf, mit dem Fahrrad noch bedingt benutzen. Seinerzeit unternahmen ein Freund ich eine Tagesradtour von Ludwigsfelde in den Spreewald und wurden noch am bereits bestehenden Kontrollpunkt, in Höhe des jetzigen Aldi Marktes, von den Soldaten durchgelassen.
Anfang der 90iger Jahre sah ich, in einer Nacht auch, wie beim Abzug der Truppen, eine große Rakete (die auch auf den Militärdemonstrationen in Berlin gezeigt wurden) auf einem Spezialtransporter auf der B 96 und B 246 über den Marktplatz von Zossen manövriert wurde.
Nach der Wende wurden, wegen der unzumutbaren Verkehrsverhältnisse durch den Verkehr der beiden Bundesstraßen durch das Stadtzentrum von Zossen, zwei Planungen zur Behebung der Missstände erarbeitet.
Das waren die Marktplatzumfahrung von Zossen von dem Knoten Bahnhofstr./ Luckenwalder Str./ Berliner Str. zum Platz Am Kietz und eine große Ortsumfahrung der Ortsteile Dabendorf, Zossen und Wünsdorf einschließlich einer Ortsumfahrung von Groß Machnow durch einen Neubau der B 96 östlich um Groß Machnow Richtung Telz und durch das ehemalige Militärgebiet bis hinter Wünsdorf. Mitte der 90iger Jahre fielen offensichtlich die Würfel für den Baubeginn der Marktplatzumfahrung. Hierzu verweise ich auf den MAZ-Artikel: „Zossen bekommt „kleine“ Umgehung“ vom 11.03.96. Zitat: „Vom Tisch scheint vorerst die „große Umgehung“ der B 96 für Zossen. Die neue Straße sollte östlich von Telz von der jetzigen abweichen und hinter Wünsdorf wieder anbinden. Diese Variante sei zwar noch in der Planung, aber zuerst werde die kleine Umgehung in Angriff genommen, so Xxxxxxxx.“, der Gründungsbeauftragte des Brandenburgischen Straßenbauamtes Zossen.
Dieser Sachverhalt, der Bau der großen Ortsumfahrung, ist im Bundesverkehrswegeplan 2003 der Bundesfernstraßen für das Land Brandenburg, mit der Prioritätsstufe „Weiterer Bedarf“ verankert.
Die 2002 realisierte Marktplatzumfahrung erbrachte eine wesentliche Verbesserung der Lebensbedingungen für die Bewohner und Beschäftigten in der Berliner Str., dem Marktplatz und der Baruther Str. und zum Teil auch für die Anwohner an der Westseite des Platzes Am Kietz, da die Durchfahrt der B 96 in Nord- Südrichtung vor diesen Häusern gesperrt wurde und dieser Verkehrsstrom jetzt zusätzlich über die Nord- und Ostseite des Platzes geführt wird.
Dadurch erhöhte sich jedoch die Verkehrsbelastung auf diesen beiden Platzseiten noch um über 25% gegenüber dem vorherigen Zustand.
Das Brandenburger Ministerium für Stadtentwicklung, Wohnen und Verkehr veröffentlichte am 22.12.99 den Planfeststellungsbeschluss (PFB) zur Marktplatzumfahrung unter 503 7172/96.6/246.3. Um das Desaster zu verdeutlichen, dem die Bewohner und Werktätigen der Nord- und Ostseite des Platzes Am Kietz zusätzlich ausgesetzt wurden zitiere ich verschiedene Aussagen aus dem 105seitigen PFB. Diese Abkürzung wird im Folgenden auch für die Planfeststellungsbehörde benutzt.
Unter III. Auflagen, Zusagen und Hinweise/1.Naturschutz/1.1 Erforderlichkeit der Straßenbaumaßnahme (Planungsrechtfertigung) wird ausgewiesen: „Es kann nicht ernsthaft in Zweifel gezogen werden, dass die innerstädtischen Verkehrsverhältnisse mit ihren Auswirkungen auf die dort wohnende Bevölkerung einer dringenden Verbesserung bedürfen. Eine großräumige Ortsumgehung ist nach dem Bundesfernstraßenbedarfsplan nicht vor dem Jahr 2012 vorgesehen.“ und „ im vorliegenden Fall steht zweifelsfrei fest, dass eine Änderung des bestehenden Zustandes der Ortsdurchfahrt nicht nur vernünftigerweise geboten, sondern vielmehr unausweichlich erforderlich ist.“
Unter III. /1.2 Naturschutzrechtliche Abwägung wird folgendes ausgeführt: „Das Stadtzentrum wird durch die erheblichen Verkehrsströme, die zudem durch den Schwerverkehr geprägt werden, dominiert. Der Aufenthalt für die Menschen dort und erst das Wohnen für die dortige Bevölkerung müssen als unzumutbar bezeichnet werden, eine städtebauliche Entwicklung ist ebenfalls unter diesen verkehrlichen Vorzeichen nicht möglich.“
Unter III. /4. Lärmschutz und IV. /6. Amt für Immissionsschutz Waldstadt (AfI) wurde für den Teilabschnitt 1 der Marktplatzumfahrung, von der Kreuzung Luckenwalder Str. bis zum Knoten Am Kietz eine Prognoseverkehrsmenge für 2010 von 11.000 Kfz/24h, mit einem Lkw-Anteil von 20 %, für den Teilabschnitt 2, Ostseite des Platzes mit 15.000 Kfz/24h gleichfalls mit einem Lkw-Anteil von 20% und für die Mittenwalder Str. 13.000 Kfz/24h zur Lärmschutzberechnung zu Grunde gelegt.
In III. / 4 wird ausgeführt, dass durch die Marktplatzumfahrung „z.B. im Bereich der Straße am Kietz-Nord“ einige „punktuelle Verschlechterungen der Lärmsituation“ auftreten, diese jedoch durch den passiven Schallschutz (Einbau von Schallschutzfenstern im Wohn- und Schlafbereich der direkt betroffenen Anwohner) „kompensiert“ und sogar „entscheidend verringert“ werden. Dem Brandenburgischen Straßenbauamt (BSBA) in Wünsdorf wird auch „aufgegeben“ wegen der erhöhten Lärmimmission den Eigentümern eine „Entschädigung für die Wertminderung der Nutzungsmöglichkeiten für Außenwohnbereiche (z.B. Loggia, Balkon und Terrasse)“ vorzunehmen.
Hierzu ein Seitensprung zu einem anderen noch nicht in Angriff genommenen Komplex meiner Internetadresse. Die erhaltene Entschädigung für die 3 Loggien des Hauses 23 an der Nordseite des Platzes Am Kietz wurde flugs vom Finanzamt München V (in Eichstätt) in einen „Gewinn“ umgebucht und versteuert. (Hierzu Urteil vom 03.03.2004 zum Verfahren FG 9K 2400/03 beim Finanzgericht München).
Die Behauptung in III. /5. Schadstoffsituation: „Die bestehenden Abgasemissionen des Straßenverkehrs werden durch das Straßenbauvorhaben also nicht negativ verändert. Vielmehr ist infolge der Verbesserung der Verkehrsverhältnisse und der erheblich verminderten Staubildung eine Verringerung des Schadstoffausstoßes zu erwarten.“ Dies kann vor allem für die Anwohner der Nordseite des Platzes aber auch für die Anwohner der Ostseite nur als Lüge eingestuft werden.
In III. /11. Straßenverkehr /11.1 bemängelt das Planungsamt des Landkreises TF, dass vom BSBA nicht die Radwege entlang der B 96 als „vordringlicher Bedarf“ vorgesehen wurden. Das BSBA verweist darauf, dass es nicht für Radwege in Ortsdurchfahrten zuständig ist. Daraufhin wurde in einem Gespräch mit dem Straßenverkehrsamt festgelegt, dass die Radfahrer zwischen der Kreuzung Luckenwalder Str. und dem Kietz, die alte Ortsdurchfahrt über den Marktplatz, im Mischverkehr mit den Bussen, Lkw und Pkw, zu benutzen haben.
Unter IV. /11.1 wird von dem Amt Zossen an der Nordseite des Platzes ein Fahrradweg zur Schulwegsicherung zur Goethe-Grundschule in der Gerichtstraße eingefordert. Dies wird vom BSBA mit Verweis auf die Engstelle auf dem zurückzubauenden Bürgersteig zwischen Haus 21 und 22 an der Nordseite des Platzes zurückgewiesen und von der Planfeststellungsbehörde bestätigt.
Als Lösung wird der Einsatz einer zusätzlichen Fußgängerampel (Baukilometer 471), zur Querung der beiden Bundesstraßen, von der Einmündung der Baruther Straße zum Platz und der Ausbau eines gemeinsamen Geh- und Radweges mit einer Breite von 2,50 m an der Nordseite des Platzes bis zum Knoten Am Kietz, deklariert. Dieser Geh- und Radweg, kann nur als Fata Morgana bezeichnet werden, da er fast nie von Radfahrern und auch selten von Fußgängern genutzt wird. Dies war vorauszusehen da für die Radfahrer und Fußgänger zweimal Wartezeiten an der neuen Fußgängerampel und der Ampel des Knoten Am Kietz in Kauf genommen werden müssen.Nach der Ampel am Knoten sollen die Radfahrer wieder im Mischverkehr mit Schwerlasttransportern, Bussen, Lieferwagen, Pkw und Motorrädern auf der B 246 weiterfahren. Auch für die Patienten der Arztpraxis im Haus Am Kietz 17, die vom Zentrum kommen oder zurückkehren wird fast ausschließlich der zurückgebaute Bürgersteig an der Nordseite des Platzes, gemeinsam mit den meisten Radfahrern sowohl in Ost- als auch Westrichtung, benutzt.
Für Radfahrer aus Richtung Wünsdorf endet der Fahrradweg an der Engstelle des Hauses 11, an der Westseite des Platzes. Dort müssen die Radfahrer die Richtung Mittenwalde fahren wollen sich in die rechtsabbiegende Fahrspur einordnen und auch die B 246 im Mischverkehr mit Schwerlasttransportern, Bussen und den übrigen Fahrzeugen weiterfahren. Die Radfahrer von Richtung Wünsdorf, die zum Marktplatz oder zum Bahnhof wollen, müssen die Rechtsabbiegerspur der B 96 queren und sich in die Linksabbiegerspur einordnen und im Mischverkehr bis zur Baruther Straße fahren. Wenn sie bis zum Bahnhof oder dem Einkaufszentrum in der Stubenrauchstraße wollen, müssen sie von der Kreuzung Luckenwalder Straße wiederum ca. 1 km bzw. 2 km im Mischverkehr mit allen Fahrzeugen auf der B 96 und B 246 hin- und zurückfahren.
Die Radfahrer aus der Richtung Mittenwalde in Richtung Zentrum müssen ab der Einmündung Menzelstraße auch im Mischverkehr auf der B 246 über den Kietz fahren, da die Anlage eines gemeinsamen Geh- und Radweges nicht möglich ist, wie bereits oben ausgeführt wurde.
Die Anwohner im Knotenpunktbereich Am Kietz müssen bei der Pkw Aus- und Einfahrt auf ihr Grundstück, wahlweise den Fußgänger- und Radfahrerverkehr auf dem Bürgersteig oder den Straßenverkehr, für die Zeiten des Öffnens und Schließens ihrer Tordurchfahrten oder Hofeingangstore behindern, da die Grundstücke generell nicht über die Hinterfront erreichbar sind und die vorhandene Bürgersteigbreite oft geringer als die Fahrzeuglänge der Pkw ist.
Diese prekären und gefährlichen Verkehrsverhältnisse, vor allem für die Schulkinder und Radfahrer, sowie alle Anwohner des Platzes Am Kietz, wurden zwar unter IV. /11 Amt Zossen/LEG Brandenburg mbH vom damaligen Amt Zossen und der Landesentwicklungsgesellschaft (LEG) und hauptsächlich unter IV. /12 Sammeleinwendungen (der Eigentümer) und IV. /13 Einspruch Zossener Bürger (vom Platz Am Kietz, der Baruther und Mittenwalder Str.) offengelegt, eine zumutbare Lösung, zum Schutz von Leben und Gesundheit der Fußgänger, Radfahrer und Anwohner des Platzes Am Kietz, wurde keinesfalls erreicht.
Das BSBA führt aus „Die Notwendigkeit der Abbiegespuren in den Knotenpunktbereichen basiert auf der Leistungsfähigkeitsberechnung vom 23.10.1997.“ Diese wurde von der Stadtraum Gesellschafft für Raumplanung, Städtebau und Verkehrstechnik mbH erstellt. Wurde etwa die Leistungsfähigkeitsberechnung, des Knoten Am Kietz, ohne Berücksichtigung der nachgerüsteten Fußgängerampel vorgenommen? Hierzu der Hinweis unter 11.1: „Zum Punkt 2 wird bemerkt, dass auf eine zeichnerische Darstellung der Fußgängerampel in der Unterlage 7, Bl.-Nr. 2 a, zur Wahrung der Übersichtlichkeit und Lesbarkeit der Planunterlage verzichtet wurde.“
Unter IV. /12.1 führen verschiedene Grund- und Eigentümer an der Ost- und Nordseite des Platzes Am Kietz folgendes aus: „Durch das aus den ausgelegten Unterlagen erkennbaren Vorhaben sind wir in unserem Recht auf Wahrung der körperlichen Unversehrtheit aus Art. 2 Abs. 2 GG und in unserem Eigentumsrecht aus Art. 14 Abs. 1GG beeinträchtigt. Denn das Vorhaben führt in dem uns maßgebenden Bereich zu einem weiteren Anstieg der unzumutbaren Beeinträchtigungen durch Lärm und Abgase.“ Sie führen aus, dass durch die Abbindung des Verkehrs der B 96 in Richtung Wünsdorf an der Westseite des Platzes die Anwohner der Nord- und Ostseite des Platzes wesentlich stärker belastet werden. An der Westseite des Platzes werden Die Anwohner und Gäste von 5 Wohnungen und einer Gaststätte entlastet, während die Anwohner von 28 Wohnungen an der Nord- und Ostseite wesentlich stärker belastet werden. Die PFB argumentiert hierzu: „Es wird von der Planfeststellungsbehörde nicht verkannt, dass die vorgesehene Straßenbaumaßnahme, welche als dringend erforderliche Verbesserung der örtlichen Verhältnisse Zossens in der Gesamtheit angesehen werden muss, durch die Verlagerung der Verkehrsströme in Teilbereichen zu Verschlechterungen der Lärm- und Abgassituation führt, wobei die künftig zu erwartende geringere Staubbildung die Schadstoffbelastung auch verringern kann. Diese benannte Verschlechterung der Abgassituation betrifft eindeutig die Häuser an den Straßen Am Kietz-Nord und Am Kietz-Ost.“
Durch den gewährten passiven Schallschutz für die Anwohner an den beiden Straßenseiten wurde zwar eine gewisse Kompensation der erhöhten Lärmimmissionen erzielt. Die Anwohner und alle Fußgänger und Radfahrer auf den schmalen Bürgersteigen sind ungeschützt den über 25% höheren Schadstoffemissionen, durch die Abbindung der Westseite und die Anlegung von Fahrzeugstauräumen an der Nord- und Ostseite des Platzes ausgesetzt.
In IV. /13 werden Einsprüche verschiedener Anwohner und Beschäftigter, hauptsächlich vom Platz Am Kietz, aufgeführt. Hier einige zutreffende Zitate: „Mit der geplanten Ortsumgehung wird die Entlastung des Marktplatzes auf Kosten der Bewohner des Kietzes betrieben. Wir, die Betroffenen, bitten die Verantwortlichen, die die bestehende Planung zu überdenken und falls doch noch eine bessere Lösung möglich ist, von ihr Abstand zu nehmen. Die jetzige Trassenführung birgt die Gefahr ständiger Stauung vor der Ampelanlage, die das freie Abfließen des Verkehrs in Richtung Wünsdorf, das jetzt noch möglich ist, behindert.“
In der Erwiderung wird ersichtlich, dass die zuständigen Behörden zur Planung und Realisierung offensichtlich von einer völlig falschen Hauptfahrtrichtung des Straßenverkehrs durch Zossen ausgegangen sind. Es wird seitens des BSAB erklärt: „Die Verkehrsführung Am Kietz ist durch die Landesverkehrsprognose 2010 mit der Hauptfahrtrichtung Berlin-Mittenwalde (von West nach Ost) bedingt. Unter Berücksichtigung der dadurch gegebenen Zwangspunkte Am Kietz und einer optimalen Gestaltung des Knotenpunktes stellt die vorliegende Planung bei einer gesamtverkehrlichen Betrachtung die günstigste Lösung dar. Der Knotenpunkt Mittenwalder Straße / Am Kietz-Nord / Am Kietz-Ost mit geplanter Lichtsignalanlage erhält für den Verkehrsstrom in Richtung Wünsdorf Abbiegestreifen, die der Gefahr ständiger Rückstauungen entgegenwirken.
Die Nachweisführung zur Leistungsfähigkeit des Knotens ist erbracht worden und kann bei Bedarf bei der Straßenbauverwaltung eingesehen werden.“ Die PFB schließt sich dieser Auffassung an und vertröstet die betroffenen Anwohner im letzten Absatz auf die Bedarfsplanung für die Bundesfernstraßen.
In den Ausführungen der Eigentümer und Anwohner ist ersichtlich, dass die Hauptfahrtrichtung über den Platz nicht von Ost (Mittenwalde-B 246) nach West und weiter nach Nord (Berlin-B 96) verläuft, sondern von Süd (Wünsdorf-B 96) nach Nord (Berlin-B 96) zutreffend ist. Diese Hauptfahrtrichtung wurde bereits kurz nach der Wende durch den Passagier- und Frachtverkehr Verkehr zum Flughafen Schönefeld, sowie dem Verkehr der Berufspendler und Handwerker aus Brandenburg nach Berlin dominiert. Diese Hinweise wurden jedoch von den beteiligten Behörden völlig ignoriert.
Resümee
Wie die obigen Ausführungen belegen, sind im PFB von 1999, zur Marktplatzumfahrung schon wesentliche handwerkliche Mängel, wie z.B. die zu Grundlegung einer falschen Hauptfahrtrichtung, enthalten, die auch nicht bis zur Realisierung des Bauvorhabens im Jahre 2002 behoben wurden.
Die Einwohner und Beschäftigten, die in der Großgemeinde Zossen, direkt an den beiden Bundesstraßen B 96 und B 246 wohnen oder tätig sind, haben nun schon fast 2 Jahrzehnte nach Inbetriebnahme der Marktplatzumfahrung, die ständig zunehmenden Lärm- und Schadstoffemissionen durch den Straßenverkehr zu verkraften.
Die im PFB von 1999 und im Bundesfernstraßenbedarfsplan von 2003 noch ausgewiesene Alternative nach 2012 eine große Ortsumfahrung der B 96 für die Ortsteile Dabendorf, die Kernstadt Zossen, Wünsdorf, einschließlich der Waldstadt und eine Ortsumfahrung der B 246 für den Ortsteil Nunsdorf haben sich nur als Fata Morgana erwiesen und hat sich in Schall und Rauch aufgelöst.
Die Hauptschuld für dieses Debakel trägt ohne Zweifel die Stadtverwaltung von Zossen, die seit 2003 bis 2019 unter der Leitung von Frau Xxxxxxxx Xxxxxxxxx stand und die Wählergemeinschaft Plan B, die lange Zeit die stärkste Fraktion in der Stadtverordnetenversammlung innehatte und leider, nach der Amtsübernahme durch die neue Bürgermeisterin, immer noch innehat.
Während die Gemeindeverwaltung von Rangsdorf und/oder deren Gemeindevertreter sich für die Fortschreibung der Ortsumfahrung der B 96 für Groß Machnow in die hohe Prioritätsstufe „vordringlicher Bedarf“ in den BVWP 2015 bzw. 2030 eingesetzt haben wurden 4000 bis 5000 Zossener Bürger, die direkt an den beiden Bundesstraßen wohnen, von der Ex-Bürgermeisterin und verantwortungslosen Stadtverordneten verraten und/oder verkauft. Die Bürger von Groß Machnow erhalten nach dem BVWP 2030 eine 4,5 km lange Ortsumfahrung, östlich und südlich um den Gemeindeteil, die danngleichfalls an der Einmündung der K 6156 aus Telz in die B 96 endet. Die Anwohner an der B 96 von Dabendorf, der Kernstadt von Zossen, Wünsdorf und Waldstadt werden dann, nach voller Auslastung des neuen BER, vermutlich vom Straßenverkehr erstickt.
Ursprünglich war vom Bundesverkehrsministerium die Fortschreibung des BVWP 2003 mit der Bezeichnung BVWP 2015 geplant. Im März 2016 wurde dann jedoch die Bezeichnung 2030 gewählt. Am 03.08.16 wurde der BVWP 2030, der den 2003 beschlossenen BVWP 2003 ablöst, vom Bundeskabinett beschlossen und am 02.12.16 vom Bundestag in Kraft gesetzt.
Seit 2007 bemühte ich mich, mit Unterschriftssammlungen und Eingaben an die Stadtverwaltung (SV), die Stadtverordnetenversammlung (SVV) und die verschiedensten Verwaltungsebenen vom Landkreis Teltow-Fläming (TF), den zuständigen Ministerien in Potsdam und das Bundesverkehrsministerium den Verrat der SV, bezüglich angemessener Wohn- und Lebensbedingungen der betroffenen Bürger der Großgemeinde zu verhindern und auch eine Fortschreibung der geplanten Ortsumfahrungen für Zossen und Nunsdorf, in die hohe Prioritätsstufe „Vordringlicher Bedarf“ zu erreichen. Leider ohne Erfolg. Die vielfachen Schreiben an die Verwaltungseben und deren Antworten, soweit diese überhaupt erfolgten werden in nächster Zeit, gleichfalls in meiner Internetadresse, veröffentlicht.
Zossen, den 09.01.20, Manfred Teichmann




Resümee vom 28.01.21
Die Antwort des Straßenverkehrsamtes TF vom 15.02.08 auf mein Schreiben vom 27.01.08 fiel ernüchternd aus.Von der Stadtverwaltung (SV) Zossen habe ich überhaupt keine Antwort auf die Eingabe erhalten.


Dieses Schreiben wurde zuständigkeitshalber an das Ministerium für ländliche Entwicklung Umwelt und Verbraucherschutz (MLUV)
weitergeleitet.



Der Petition vom 28.03.08 wurde eine Unterschriftenliste mit 45 Unterschriften von Eigentümern, Anwohnern des Platzes und Beschäftigten in zwei Arztpraxen und einer Physiotherapie im Haus 24 des Platzes beigefügt.
Wegen den fragwürdigen Datenschutzbestimmungen, kann diese Liste nicht beigefügt werden. Auf Grund dieser Petition wurde am 08.05.08 eine 24h- Verkehrszählung durchgeführt. Die "angeblichen" Zählwerte wurden im Schreiben des MLUV vom 15.07 08 benannt.







Kopien des Schreibens vom 15.12.08 sandte ich am 17.12.08 an die SVV der Stadt Zossen und das Straßenverkehrsamt TF.



Mein Schreiben vom 17.12.08 an die Stadtverordneten, einschließlich derbeiden Anlagen landete vermutlich im Papierkorb oder Zerreißwolf des Rathauses. Der Fraktionsvorsitzende der Linken bestätigte mir später, dass seine Fraktion das Schreiben und die Anlagen nie erhalten hat. Auf einer späteren Stadtverordnetenversammlung (SVV) übergab ich allen Fraktionen noch ein Exemplar dieses Schreibens.




Im Schreiben des MLUV vom 15.07.08 wurde behauptet, dass der durchschnittliche Tagesverkehr, am 08.05.08 vor dem Haus Am Kietz 23 8.382 Fahrzeuge, davon 552 Schwerlasttransporter, betragen hat. Nach einer Presseveröffentlichung vom 08.10.97 passierten bereits damals ca. 12 000 Fahrzeuge das Zentrum von Zossen. Deshalb besuchte ich am 10.02.09 in Berlin die Ingenieurgesellschaft, die die 24h Zählung durchgeführt hatte. Dort erhielt ich die korrekten Zählwerte, die in folgender Aktennotiz aufgeführt wurden. Bei der Weitergabe der Zählwerte innerhalb der Behörden sind mal 5817 Fahrzeuge oder 40,97 % des Verkehrs an der Nordseite des Platzes Am Kietz abhanden gekommen.



Vom ADAC Berlin-Brandenburg erhielt ich am 22.01.10 einen Zwischenbescheid zu diesem Anschreiben
chreiben.


Diese Leserzuschrift wurde am 10.02.10 auf der Seite 18 von der damaligen Lokalredaktion Zossen der MAZ veröffentlicht.

In dem MAZ-Artikel vom 12/13.03.11 werden die Verkehrsverhältnisse am Platz Am Kietz und im Artikel vom 15.04.11 in der Straße der Jugend geschildert. Der Autor aus der Straße der Jugend führt in der 2 Spalte aus, dass er sich bereits 2005 im Bauausschuss für die Verbesserung der Lebensbedingungen der betroffenen Anwohner eingesetzt hat, was jedoch von der Bürgermeisterin rigoros verweigert wurde. Vor einigen Jahren zog er die Notbremse und zog mit seiner Familie nach Mecklenburg-Vorpommern.
Die beiden folgenden Bilder zeigen, welchen gesundheitlichen Belastungen die Anwohner des Platzes Am Kietz ausgesetzt sind.



Auf die Antwort der Stadtverwaltung, zu diesem Schreiben, wartete ich wie auf fast alle übrigen übergebenen Schreiben bisher vergeblich.




Etwa 60 bis 70 Bürger Zossens haben 2013 Stellungnahmen zum Entwurf des FNP abgegeben. In den Antworten der SV wurden die Bürger ihrer Namen beraubt und zu Nummern degradiert, damit ja die totale Intransparenz gesichert wird. Ich erhielt die Nummer Bürger 59. Die Antwort (Beschlussvorschlag) zu meiner Stellungnahme ist auf dem folgenden Blatt ersichtlich. Sie belegt nur die Irrrationalität der Bürgermeisterin. Sicherlich gehören Flächen für Ortsumfahrungen von Straßen und Radwege in einen Flächennutzungsplan. Im Entwurf des Planes wird der Horizont mit 25 Jahren benannt. Dies bedeutet, dass die Bürgermeisterin sich eventuell nach 2030 um bessere Lebens- und Verkehrsbedingungen der betroffenen Bürger einsetzen wollte. Den Häuslebauern mutet sie zu umfangreiche Mehrkosten zu tragen, um sich vor den unzulässigen Emissionen des weiter zunehmenden Straßenverkehrs zu Schützen. Die 5 Seiten mit dem Beschlussvorschlag erhielt ich erst, "nach dem das Kind bereits in den Brunnen gefallen war", am13.04.14 von der IDAS Planungsgesellschaft aus Luckenwalde.
Einer der Initiatoren der Bürgerbewegung für bürgerfreundliche Bahnquerungen für Dabendorf, erhielt, in der Beschlussvorlage, die Bürger Nr. 51 zugeteilt. Seine Stellungnahme und die Antwort wird auf der 2. und 3. Seite aufgezeigt.






Auf Grund dieses redaktionellen Artikels vom 10.01.14 besuchte ich die Bauausschusssitzung der Stadt Zossen am 22.01.14. Auf meine Anfrage, wer bei der Stadtverwaltung die OU der B 96 nicht möchte, wurde mir zugesagt, dass ich dazu eine Auskunft bekäme, die nach Art des Hauses natürlich wieder nicht erfolgte. Da mir, das völlig intransparente Machwerk der Beschlussvorlage nicht zur Verfügung stand, erhielt ich die Auskunft, dass ich dafür enen Antrrag zur Aushändigung stellen müsse. Diesen Antrag stellte ich mit Schreiben vom 26.01.14. und erhielt einen Termin zu einem Gespräch. Bei diesem Gespräch wurde nicht nur die Aushändigung der gesamten Beschlussvorlage, sondern auch noch die Einsichtnahme verweigert.
Bereits im PFB vom 2212.99, des Brandenburger Ministeriums für Stadtenwicklung, Wohnen und Verkehr wurde,bezüglich der Anwohner an der B 96 und B 246 in Zossen folendes festgestellt: "Der Aufenthalt für die Menschen dort und erst recht das Wohnen für die dortige
Bevölkerung müssen als unzumutbar bezeichnet werden, eine städtebauliche Entwwicklung ist ebenfalls unter diesen verkehrlichen Vorzeichen nicht möglich." Die guten Voraussetzungen Zossens 2012 die bereits angeplante große Ortumfahrung der B 96, durch das ehemalige Militärgebiet bis Neuhof und auch die Ortsumfahrung der B 246 für Nunsdorf, entsprechend dem Bundesverkehrswegeplan 2003 zu erhalten, wurde seitens einer unqualifizieren und/oder verantwortungslosen Stadtverwaltung und einer Mehrheit socher Stadtverordneten regelrecht sabotiert und besiegelt, wie die namentliche Abstimmung zur Stadtverordnetensitzung vom 29.01.14 zeigt.







Die Petition des Kreistages TF an den Petitionsausschuss des Landtages vom 26.04.14, für Trebbin eine zweite Ortsumfahrung, für ein prognostiziertes Verkehrsaufkommen von 5.000 Fahrzeugen auf der B 246 in den Bundesverkehrswegeplan 2015 aufzunehmen, kann nur als Affront oder Verhöhnung für die betroffenen Zossener Bürger gewertet werden, die jeden Werktag mit dem realen Autoverkehr von über 17.000 Fahrzeugen belastet werden.
Wie mir der Vorsitzende des Kreistages mitteilte, haben an der Ausschusssitzung am 24.02.14 auch 8 Kreistagsmitglieder aus Zossen an der Sitzung teilgenommen. Bei der Abstimmung gab es lediglich eine Gegenstimme und 2 Enthaltungen. Dann nochmals vielen "Dank" an die mindestens 5 (oder noch mehr ?) Zossener Kreistagsabgeordneten, die bedenkenlos für die Aufnahme einer zweiten Ortsumfahrung für Trebbin, für 5.000 Fahrzeuge in den BVWP 2015 gestimmt haben, auf die Fortschreibung der OU der B 96 für Zossen aber keinen Finger krumm gemacht haben und sogar noch die Streichung dieser OU aus dem BVWP wissentlich in Kauf genommen haben.














Auf Grund dieses redaktionellen Artikels vom 10.01.14 besuchte ich die Bauausschusssitzung der Stadt Zossen am 22.01.14. Auf meine Anfrage, wer bei der Stadtverwaltung die OU der B 96 nicht möchte, wurde mir zugesagt, dass ich dazu eine Auskunft bekäme, die nach Art des Hauses natürlich wieder nicht erfolgte. Da mir, das völlig intransparente Machwerk der Beschlussvorlage nicht zur Verfügung stand, erhielt ich die Auskunft, dass ich dafür enen Antrrag zur Aushändigung stellen müsse. Diesen Antrag stellte ich mit Schreiben vom 26.01.14. und erhielt einen Termin zu einem Gespräch. Bei diesem Gespräch wurde nicht nur die Aushändigung der gesamten Beschlussvorlage, sondern auch noch die Einsichtnahme verweigert.
Auf eine Empfehlung des Landesumweltamtes bemühte ich mich auch darum, dass seitens der Humboldt Universität, mit einer mobilen Messstation, Emmissionsmessungen am Platz Am Kietz durchgeführt werden. Dies kam jedoch nicht zum Tragen.

Der unqualifizierte und bürgerfeindliche Abwägungsbeschluss wurde bereits in diesem Kapitel nach meiner Stellungnahme vom 17.12.13 eingefügt.

Für die Veröffentlichung dieses Artikels bedanke ich mich nochmals bei der Redaktion der Wochenzeitung "Blickpunkt" in Ludwigsfelde. Die kostenlose Veröffentlichung von Leserzuschriften schmälert ja den Brotkorb des Verlages und deren Mitarbeiter, da ja weniger Platzbedarf für die Werbeartikel zur Verfügung steht. Es ist ja für frustrierte Bürger eine Genugtuung, dass sie kostenlos ihre Probleme veröffentlichen können, während in kostenpflichtigen Tageszeitungen, häufig seitenlange subjektive Hofberichterstattungen der Politik und der verschiedensten Verwaltungshierarchien veröffentlicht werden, kritische Leserpost jedoch viel zu wenig veröffentlicht wird.












Kein Kommentar!!!

Eine reife "Leistung" der Bürgermeisterin in fast 12 Jahren Amtszeit 7 Bauamtsleiter zu verschleißen bzw. aus dem Amt zu ekeln. Es ist verwunderlich, dass ein Diplom-Hochbauingenieur die Probezeit nicht überstanden hat. Vermutlich war er und die anderen Bauamtsleiter, die nach kurzer Amtszeit oder bereits vor Amtsbeginn das Handtuch warfen, so von den unqualifizierten Vorgaben der Bürgermeisterin und ihrer politischen Gremien schockiert.





Die Landrätin stützt sich in ihrer Antwort zur Ortsumfahrung darauf, dass sie keine Kompetenzen für Bundestraßen hat und beruft sich (gebetsmühlenartig) auf den, für die Bürger, diskriminierenden § 109 der Brandenburger Kommunalverfassung (BbgKV). Als juristischer Laie ging und gehe ich immer noch davon aus, dass der Landkreis nach dem § 132 der BbgKV die Bürger auch vor unsachgemäßer und schädigender Verwaltungstätigkeit der Kommunen zu schützen hat. Vermutlich hatte in der Kreisverwaltung den § 132 noch kein Mitarbeiter zur Kenntnis genommen.



















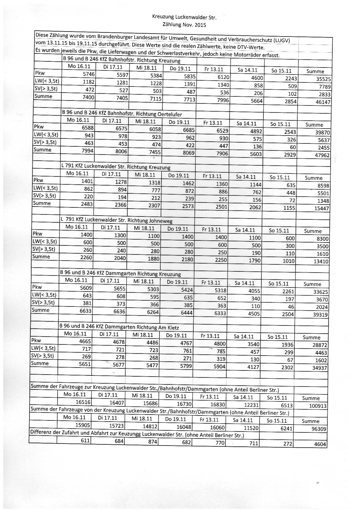
Wie die Wochenzählung des LUGV vom 13.11.15 bis 19.11.15 belegt frequentierten den Knoten Am Kietz am Montag, Diensttag, Donnerstag und Freitag jeweils über 17.000 Fahrzeuge, am Mittwoch über 16.000, am Sonnabend über 11.000 und am Sonntag über 6.000 Fahrzeuge den Platz.
Der Schwerlastverkehr, über 3,5 t, betrug von Montag bis Freitag fast ausschließlich über 10 %, am Sonnabbend ca. 5 % und am Sonntag noch über 3 %. Der Lieferverkehr, unter 3,5 t betrug von Montag bis Freitag ca. 15 % bis 17 %, am Sonnabend und Sonntag betrug er noch jeweils 20 % des Gesamtverkehrs.
Die Verkehrsbelastung an der Keuzung Luckenwalder Straße entspricht etwa der Belastung des Platzes Am Kietz. Die Summenwerte der Zählung liegen zumeist unter den Werten des Knoten Am Kietz, da der zu- und abfließende Verkehr der Berliner Straße nicht gezählt wurde.
Zusätzlich wurde auch eine Zählung auf der B 246 östlich vom Luchweg durchgeführt. Motorräder wurden bei diesen Zählungen nicht erfasst.
In den Sommermonaten nimmt der Verkehr durch die Motorradfahrer und der Schwerlastverkehr durch die Hochkonjunktur der Getränkeindstrie in Baruth noch weiter zu, wie bereitsim MAZ-Artikel vom 15.05.08 belegt wird.
Zusätzlich zur Zählung wurde auf der B 96, zwischen dem Kietz und der Schäferei, und auf der B 246 zwischen Luchweg und Ortsausgang der mittlere Geschwindigkeitsverlauf gemessen. Wie die beiden Diagramme zeigen, lag die mittlere Geschwindigkeit ausnahmslos über 50 km/h und in den Nachtstunden über 55 bis zum Teil über 60 km/h.









Ersetzen Sie diesen Text durch Informationen über Sie und Ihr Unternehmen oder fügen Sie Informationen hinzu, die für Ihre Kunden nützlich sind. Schreiben Sie Ihren eigenen Text, gestalten Sie ihn und drücken Sie Fertig






Die im Schreiben vom 02.04.22 benannten Anlagen 1 und 2 wurden bereits früher in der Rubrik Straßenverkehr aufgenommen. Die, in der Zusammenfassung des Verkehrsdebakel in der Großgemeinde Zossen (Anlage 3) aufgeführten Zitate, können auch weitgehend in den kompletten Schreiben in der Rubrik Straßenverkehr nachgelesen weren.